电话:021-69515711
手机:13818065015
传真:021-69515712-
1049485
-
8459743
-
1993509414
:renrimarket
market@renri.com.cn
为了加强对放射源和射线装置安全运行的监督管理,保障人体健康、保护环境,根据辐射防护三原则与国家相关标准的要求,考虑人为操作失误、射线装置和放射源意外故障等原因可能引发的放射性危害,有必要建设一套在线xγ射线监测报警系统。
在线式xγ射线监测报警系统通过计算机远程集中监测,完成对放射性
REN系列智能化辐射探头均可和REN300、REN300A、REN300B系列主机配套使用,也可以单独配套RenRiArea辐射区域监测软件使用。且具有RS485/RS232的通讯能力。所有探头均可单独外接报警灯,在超阈值的情况下就地给出声光报警。
1、测量射线类型:X、γ射线2、探测器:3个GM
REN500A型智能化х、γ辐射仪(又叫环境监测用X、γ辐射空气比释动能(吸收剂量)率仪或便携式X、γ辐射周围剂量当量率仪)采用高灵敏的闪烁晶体作为探测器,反应速度快,具有较宽的剂量率测量范围。 该仪器除能测高能、低能γ射线外,还能对低能X射线进行准
一、长袖、半袖、无袖射线防护服 1、防护铅皮:柔软防护材料; 2、防护性能佳:铅分布均匀;提供0.35/0.5mmPb铅当量; 耐磨、易清洗表面材料 3、结构设计:采用多层材料制作,加上专业的人性化结构设计,让您穿戴舒适; 4、 精密制作工艺:做工精
REN400型多功能辐射检测仪是以内置高灵敏度盖格计数管为探测器,外接不同类型的探头来实现对低剂量χ、γ射线,高剂量χ、γ射线,α、β射线和中子射线的检测。作为多功能辐射巡测仪,能显示工作场所的辐射值,自动连续测量和记录280万条辐射剂量率数据,更换
REN710型行人通道式γ射线安检门是专为行人设计的、用于检测放射性物质的门式检测系统,它为行人非法携带放射性物质及特殊核材料提供快速检测手段,能够为海关、机场、码头、火车站、医院、边境检查、重要会议场所安全检查提供帮助。是核
放射工作人员个人剂量委托监测服务
依据《GB18871-2002电离辐射防护与辐射源安全基本标准》和《GBZ128-2002职业性外照射个人监测规范》的要求,以热释光个人剂量计作为监测手段,为放射工作人员提供个人剂量委托监测服务,并为企业或卫生行政部
REN200A型X、γ辐射个人剂量当量HP(10)监测仪(简称:个人剂量报警仪)内置高灵敏度盖格计数管为探测器,主要用来监测各种放射性工作场所中个人的X、γ以及硬β射线的辐射,具有响应快,测量范围宽的特点。能显示工作场所的剂量当量率和累积剂量,更换电池时,日期及累积数据能永久保存。可选配RenRiP
医用X射线治疗卫生防护标准
2006/11/1 9:46:00
前言
本标准的第3~7章为强制性的,其余为推荐性的。
根据《中华人民共和国职业病防治法》制定本标准,原标准GB18464-2001与本标准不一致的,以本标准为准。
本标准规定了医用X射线治疗机的辐射防护性能、治疗机使用场所的辐射防护条件和使用治疗机实施放射治疗的辐射防护与安全的技术要求。
本标准由中华人民共和国卫生部提出并归口。
本标准起草单位:北京市放射卫生防护所。
本标准主要起草人:王时进、马永忠。
本标准由中华人民共和国卫生部负责解释。
医用X射线治疗卫生防护标准
Standards for radiological protection in medical X-ray therapy
GBZ131-2002
1 范围
本标准规定了医用X射线治疗机的辐射防护性能及其检验要求、治疗室的辐射防护条件和使用治疗机实施放射治疗的安全操作与质量保证要求。
本标准适用于标称X射线管电压为10kV~1MV的医用X射线治疗机(以下简称治疗机)的生产和使用。
本标准不适用于医用加速器的X射线治疗。
2 规范性引用文件
下列文件中的条款通过本标准的引用而成为本标准的条款。凡是注日期的引用文件,其随后所有的修改单(不包括勘误的内容)或修订版均不适用于本标准,然而,鼓励根据本标准达成协议的各方研究是否可适用这些文件的最新版本。凡不注日期的引用文件,其最新版本适用于本标准。
GB9706.10 医用电器设备 第二部分:治疗X射线发生装置安全专用要求。
GB9706.12 医用电器设备 第一部分:安全通用要求三并列标准:诊断X射线设备辐射防护通用要求。
3 总则
3.1 医用X射线治疗必须遵循放射防护基本原则,要求照射正当化,辐射防护最优化,并使工作者和公众的受照不超过规定的剂量限值;患者所受的医疗照射,应遵循实践的正当性和防护的最优化原则。
3.2 医用X射线治疗必须采取安全措施,尽可能减少或避免导致重大照射事件的发生及不良后果。
4 治疗机防护性能的技术要求
4.1 治疗机泄漏辐射的限制
4.1.1 治疗状态下,X射线源组件的泄漏辐射应按表1控制。
表1 治疗状态下X射线源组件1)泄漏辐射控制值
|
X射线管额定电压,kV |
空气比释动能率控制值,mGy/h |
|
>150 |
距源组件表面5Omm 300 |
|
|
距X射线管焦点1m 10 |
|
≤150 |
距X射线管焦点1m 1 |
|
≤502) |
距源组件表面5Omm 1 |
|
注: 1)X射线源组件包括固定安装在X射线管套上的限束器 | |
4.1.2 非治疗状态下,X射线源组件的泄漏辐射和非有用辐射的控制值
当X射线源处于以手动中断治疗而X射线管高压仍通电,或预定的治疗终止且X射线管高压断电的非治疗状态时,自中断或终止辐射束发射后5s开始,空气比释动能率控制值:在距X射线管焦点1m(包括治疗束方向)处,不得超过0.02mGy/h;在距X射线源组件表面50mm处,不得超过0.2mGy/h。
4.1.3 可卸式限束器的泄漏辐射控制水平
可卸式限柬器仅指直接与X射线管组件连接但可拆卸的集光筒或可调限束器的整体固定部分。在可卸式限束器出口照射野全屏蔽条件下,限束器照射野外的相对空气比释动能率不得超过表2的控制水平。
表2 可卸限束器的相对泄漏辐射控制水平
|
限束器出线口处屏蔽铅板的尺寸为照射野横(纵)向相应尺寸的倍数 |
可卸限束器的相对泄漏辐射1)控制水平,% |
|
1.5倍 1.1倍 |
0.5 2 |
|
注:1)在距铅板边缘20mm以外任何位置的最大空气比释动能率占同一平面上无铅板时射线束中点处空气比释动能率的百分数 | |
4.1.4 除X射线源组件外其余部件的泄漏辐射控制值
除X射线源组件外,距X射线机的任一部件表面50mm 的任何位置上,空气比释动能率不得超过0.02mGy/h。
4.2 与有用线束辐射输出量相关的技术要求
4.2.1 累积辐射输出量的重复性
照射野内有用线束累积空气比释动能的重复性应不大于5%(X射线管电压≤150kV)和3%(X射线管电压>150kV)。
4.2.2 累积辐射输出量的线性
照射野内有用线束累积空气比释动能的非线性应不大于5%。
4.3 治疗机控制台
控制台应具有下列安全控制设备:
(1)主电源锁。
(2)预置的照射条件的确认设备。
(3)在确认照射条件无误后启动照射的设备。
(4)在紧急情况下中断照射的设备。
(5)辐射安全与联锁装置(详见第4.5条)。
4.4 计时器和剂量监测仪
治疗机的计时器和剂量监测仪,应能防止自动终止照射的意外故障,其要求如下:
(1)当治疗机同时设有计时器(两台)或剂量监测仪(两台)时,必须以并列或主/次组合方式配置。其中每一台必须能够独立终止照射。
(2)当达到预置值时,并列组合的两套系统或主/次组合的主系统必须终止照射。因主次组合的主系统故障未终止照射并超过了预置值的10%,或计时器超过0.1min,或剂量监测仪在相应标称距离处的吸收剂量超过0.1Gy时,次级系统必须立即终止照射。
4.5 辐射安全与联锁要求
4.5.1 治疗机必须具有安全设备,当出现第4.5.2-4.5.5条中任何一项错误或故障时,能中断照射,并有相应故障显示。
4.5.2 对X射线源组件移动设备故障的保护
治疗机照射时,X射线源组件相对患者的移动设备在执行预置的移动指令过程中,受到卡、阻或发生其它移动故障时,应由保护设备强制自动中断照射。
4.5.3 防止X射线管通电时误照射
此项设备可以是辐射吸收部件(如快门),其工作应当:
(1)若吸收部件工作不正常,不可能使X射线管通电。
(2)当X射线管通电时,吸收部件出现故障应导致X射线管断电。
(3)当辐射束停止发射时,吸收部件应工作到位。
4.5.4 防止组合照射条件误置时误照射
组合照射条件包括X射线管电压、X射线管电流、固定与附加过滤、限束器(可调限束器或集光筒),以及X射线源组件移动设备等与病人治疗相关的诸照射条件的组合。
控制台设置的组合照射条件有下列情况之一时,治疗机不能输出辐射:
(1)没有按治疗计划预置。
(2)预置超过了设备的性能指标。
(3)预置条件不正确(如过滤器、限束器安放位置不当或安放方向错误)。
(4)当组合照射条件能够在治疗室内和治疗室外的控制台设置时,控制台的设置与机旁的设置不一致。
(5)预置未经控制台确认检验。
4.5.5 防止人员误入治疗室
治疗室的防护门必须与治疗机的工作状态联锁,只有关闭治疗室门时才能照射;在治疗机照射状态下意外开启防护门则中断照射。应当采取预防措施,防止照射中意外开启防护门,且此时在控制台应有相应显示。
4.6 辐射束发射的启动与中止
(1)正常情况下,必须按顺序设置第4.5.4条所述的组合条件,并经控制台确认验证设置无误时,由"启动"键启动照射。在完成预置的照射后自动终止照射。
(2)正常情况下,再次发射辐射束,必须按上述步骤重新设置与操作。
(3)在异常情况下,由第4.5条的安全设备中断照射。此时,必须在排除故障并在控制台"复原"后才可由"启动"键启动照射,继续完成原预置的照射;或者在重新设置后才能再次启动照射。
4.7 手持治疗机的特殊要求
(1)治疗机的X射线管标称电压不得大于50kV。
(2)X射线管组件除手持外还应有其它的固定方法。
(3)只能由手持X射线管组件的工作人员控制X射线管的通电。
(4)必须具有表征X射线管通电的声响和灯光警告信号。
(5)治疗机必须配备个人防护用帽子、手套和围裙,其对X射线的衰减不小于0.25mm铅当量,并在随机文件中给出提醒操作者使用这些防护用品的要求。
4.8 部件规格标识和随机文件
4.8.1 部件规格标识
治疗机及其部件必须具有牢固、清晰易认的下列标识:
(1)在X射线源组件表面,标识出焦点的位置和固定过滤的材料与厚度。
(2)可卸附加过滤器的材料、厚度、插入方向标记及插入后的工作状态指示。
(3)治疗束集光筒远端出口照射野的标称尺寸和焦点到远端的距离。
(4)可调限束器照射野的尺寸和标称焦皮距的指示。
(5)防护设备辅件对X射线衰减的当量厚度或衰减因子。
4.8.2 随机文件
治疗机的随机文件必须符合GB9706.10的要求。
4.9 照射野及其它
照射野及其它应符合GB9706.12中可适用的辐射防护通用要求。
5 治疗室的防护要求
5.1 治疗室的设置必须充分考虑周围地区与人员的安全,一般可以设在建筑物底层的一端。50kV以上治疗机的治疗室必须与控制室分开。治疗室一般应不小于24m2。室内不得放置与治疗无关的杂物。
5.2 治疗室有用线束照射方向的墙壁按主射线屏蔽要求设计,其余方向的建筑物按漏射线及散射线屏蔽要求设计。
5.3 治疗室必须有观察治疗的设备(如工业电视或观察窗)。观察窗应设置在非有用线束方向的墙上,并具有同侧墙的屏蔽效果。
5.4 治疗室内的适宜位置,应装设供紧急情况使用的强制中止辐照的设备。
5.5 治疗室门的设置应避开有用线束的照射。无迷道的治疗室门必须与同侧墙具有等同的屏蔽效果。
5.6 治疗室内门旁应有可供应急开启治疗室门的部件。
5.7 治疗室门必须安装第4.5.5条联锁设备,门外近处应有醒目的照射状态指示灯和电离辐射警告标志。
5.8 治疗室要保持良好的通风。电缆、管道等穿过治疗室墙面的孔道应避开有用线束及人员经常驻留的控制台,并采用弧状孔、曲路或地沟。
6 实施放射治疗的防护要求
6.1 放射治疗的正当性要求
放射治疗必须建立处方管理制度,只有具有资格的处方医师才可申请X射线治疗。处方医师必须根据病人状况进行X射线治疗的正当性分析与判断,避免不正当的X射线治疗。
6.2 优化治疗计划
6.2.1 在对计划照射的靶体积施以所需要的剂量的同时,应使正常组织在放射治疗期间所受到的照射保持在可合理达到的尽量低的水平。
6.2.2 优化治疗计划应当包括:分析病人已进行过的放射与非放射治疗;按照病灶条件拟定单照射野或叠加照射野及每个照射野给与病灶组织的剂量;治疗照射条件的选取;采取屏蔽及合理计划照射的措施保护患者的正常组织与重要器官。
6.3 防护安全操作要求
(1)操作者必须熟练掌握并严格执行操作规程。重要的安全操作内容必须在治疗机控制室醒目悬挂。
(2)放射治疗操作者必须佩带个人剂量计。治疗过程中,操作者必须始终监视着控制台和患者,并及时排除意外情况。
(3)操作者不得擅自拆除辐射安全与联锁设备。当维修需要时,必须经过负责人员同意,并在控制台醒目告示治疗机正在维修。维修后及时恢复安全与联锁设备,检验其控制功能正常,并经负责人员确认后才可进行放射治疗照射。
(4)50kV以上治疗机照射时,除患者外,治疗室内不应有其他人员滞留。
(5)使用50kV以下手持治疗机时,操作者必须穿戴防护手套和不小于0.25mm铅当量的围裙,并尽可能远离治疗机的X射线管组件。
6.4 质量保证的一般要求
6.4.1 放射治疗应配备相应的治疗医师、物理师、技术员等有资格的人员。
6.4.2 放射治疗应建立质量保证管理组织和制定质量保证大纲,建立对实施治疗计划的核查制度,完好地保存治疗记录。
6.4.3 放射治疗必须经常、定期核查治疗机的辐射输出量,保障患者靶区组织所接受的吸收剂量与处方剂量之间的偏差不大于5%。
6.5 治疗机质量控制检测要求
6.5.1 每日放射治疗前,应检验照射的启动、终止及其相应的照射状态显示以及治疗室门联锁。
6.5.2 治疗单位每周应对治疗机组合照射条件(第4.5.4条)和紧急中断照射设备(第4.3(4)和5.4条)进行实验检查;用放射治疗剂量测量仪检验辐射输出量。
6.5.3 治疗机生产厂的型式试验和管理部门对定型产品的检验按GB9706.10和本标准的全部要求进行检验。
6.5.4 用户验收检验和管理部门对使用中的治疗机的年度检验除进行第6.5.1和6.5.2条检验外,应对辐射输出量的重复性、线性和治疗机的泄漏辐射(每二年一次)进行检验。检验方法见第7章。此外,对第4.5.2和第4.5.3条安全联锁应进行模拟实验核查。
6.5.5 治疗机更换X射线管或其它大修后,维修部门、用户和管理部门应对影响到的治疗机性能指标进行相应的检验。
7 检验方法
7.1 治疗机泄漏辐射检验
7.1.1 检测条件与要求
(1)必须在随机文件给定的治疗机性能指标范围内能导致最大泄漏辐射的条件下(即额定X射线管电压和相应的最大管电流)进行检测。检测结果扣除预先测定的本底值,并按国家法定计量检定部门定期校准的系数校正为以"mGy/h"为单位的空气比释动能率。
(2)检测仪表的能量响应和测读范围应能满足相应测量的要求。仪表的基本误差应小于15%,检测的扩展不确定度应小于30%。
(3)距X射线管焦点1m位置上的检测,必须在与X射线束中心轴垂直的测量平面上长轴线度不大于20cm的100cm2面积上取平均值。
(4)在第4.1条中,距相应边界20mm和50mm的检测,必须在与X射线束中心轴垂直的测量平面上长轴线度不大于4cm的10cm2面积上取平均值。在检测仪表实际达不到所要求的位置时,可以在尽可能接近所要求的距离上进行检测,并将其作为所要求位置的结果。
7.1.2 治疗状态下X射线源组件的泄漏辐射
(1)X射线管套的辐射束出口必须严密覆盖屏蔽体,其厚度应对有用线束轴上的空气比释动能率具有不少于106的衰减,其几何尺寸不得超过辐射束边界外5mm
(2)检测点应当包括:以X射线管焦点为中心,有用线束中心轴、X射线管长轴、与此二轴垂直的轴组成三维坐标体系,每两条轴线之间的夹角为0°、45°、90°、135°、180°、225°、270°、315°的方向上,相应第4.1.1条中表1规定的位置。
(3)照射条件同第7.1.1(1)条。检测可以采用直接剂量率测读或由计时累积剂量计算。直接测读应使用可在远距离测读的剂量率仪表。累积剂量可以使用热释光剂量计或积分剂量计。
(4)评价标准:见第4.1.1条中表1。
7.1.3 非治疗状态下X射线源组件的泄漏辐射和非有用辐射
(1)治疗机在第7.1.1(1)条的条件下照射,在终止照射后迅速在第4.1.2条规定的位置以空气比释动能巡测仪表直接测读。
(2)评价标准:见第4.1.2条。
7.1.4 可卸式限束器的泄漏辐射
(1)对与治疗机配套的所有可卸式限束器逐一检验。
(2)对可调限束器,测量应在照射野各规定的调节位置上进行。
(3)卸下限束器远端的透辐射曲面端盖,并将限束器直接接到X射线管组件上。
(4)在与第7.1.1(1)条相应并具有规定的最大衰减过滤的照射条件下检测。
(5)在限束器远端出口处照射野几何中心位置,测量空气比释动能率。测量方法同第7.1.2(3)条。
(6)以对有用线束中心轴上的空气比释动能率具有不少于104衰减的平整铅板严密覆盖限束器出口。铅板的形状与出口处照射野的形状相同,几何尺寸符合第4.1.3条表2的要求。
(7)在第4.1.3条表2要求的铅板的外侧平面上,距铅板边缘20mm 处,以热释光剂量计检测限束器的泄漏辐射,计算检测点的泄漏辐射空气比释动能率。对于圆形限束器均匀选取八个检测点。对于矩形限束器,沿每条边选取相应边线长度1/4、1/2、3/4位置的三个检测点。
(8)计算本条(7)与(5)的比值,按第4.1.3条表2评价。
7.1.5 除X射线源组件外其余部件的辐射
(1)其余部件通常指高压发生器。
(2)照射条件同第7.1.1(1)条。以空气比释动能率巡测仪在第4.1.4条要求的位置直接扫描测量。
(3)评价标准见第4.1.4条。
7.2 累积辐射输出量的重复性、线性检验
7.2.1 检测条件与要求
(1)通用实验条件同GB9706.10第50.101条。
(2)检验用的电离室剂量计应符合工作级剂量计的要求。
(3)所有的检测结果都必须扣除预先测读的本底值。除相对测量而外,检测结果都必须按检测时刻电离室所在位置的环境温度与大气压强校正至标准条件(2O℃,101.3kPa),并按国家法定计量检定部门定期刻度的系数转换为相应"SI"单位的量值。测定的不确定度应小于3%。
7.2.2 生产厂型式试验
检验方法与评价同GB9706.10-1997第50.2条和第50.101-50.104条。
7.2.3 其它验收检验和状态检验
在电源电压为220V的99-101%和最常用的限束器及总过滤(固有过滤与附加过滤的总和)的条件下,按下述方法检验累积辐射输出的重复性和线性。
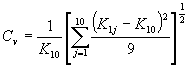
(1)在额定X射线管电压条件下测量累积照射达到0.2满度值的读数。重复测量10次。计算前五次测读的平均值
和十次测读值K1j的平均值K10及其相对标准偏差Cv
…………………………¨(1)
(2)额定X射线管电压条件下,测量累积照射达到0.05满度值的读数,重复测读5次,计算平均值
。
(3)在X射线管电压为"较低值"(即50%额定值或规定的最低值,取一者中较高的)时,测量累积照射达到0.05满度值和0.2满度值的读数。重复测读5次,计算平均值
和
。
(4)计算上述测读均值
与预置值Qi的比值Mi:
.................(2)
(5)累积辐射输出重复性实验的评价标准:相对标准偏差Cv不超过:
0.03—对于额定X射线管电压大于150kV的治疗机;
0.05—对于额定X射线管电压不大于150kV的治疗机。
(6)累积辐射输出线性检验的评价标准:
|M1-M2|≤0.025|M1+M2|且|M3-M4|≤0.025|M3+M4|
产品名称:REN200B型X-γ个人剂量报警仪
产品描述:REN200B型X、γ辐射个人剂量当量HP(10)监测仪(简称:个人剂量报警仪)内置高量程盖格计数管为探测器,主要用来监测各种放射性工作场所的X、γ以及硬β射线的辐射,具有较宽的测量范围。能显示工作场所的剂量当量率和累积剂量,更换电池时,日期及累积数据能永久保存。可选配RenRiPersonal个人
产品名称:REN500T长杆x-γ剂量率仪
产品描述: REN500T是手持式仪表可用来监测X、γ辐射剂量率。用于各种γ辐射场或环境γ辐射的监测工作。仪器配有伸缩长杆,可用于测量人员不易到达或有较强放射性存在的场所,为使用人员提供有效保护。此外通过配套的RenRiRate辐射剂量管理软件可将存
产品名称:REN510型便携式γ谱仪
产品描述:REN510型便携式γ谱仪主要用于安检、反恐、核事故现场的污染分析,可进行γ辐射剂量的测量,同时系统内置核素库,可以自动识别人工及天然同位素。仪器为一体式,内置2英寸NaI(Tl) γ探测器,可同时测量γ能谱、γ剂量率。仪器为全数字化,集探测器、成型放大器、多道分析器、电源、触摸屏、内存为一体,功耗
产品名称:REN300+REN-3He-N型固定式中子、伽玛报警仪
产品描述:本报警仪由REN300在线辐射安全报警仪和REN-3He-N中子探头和REN-NaI30伽玛探头组成。该辐射报警装置是采用特殊设计的前置放大电路,具有灵敏度高、操作方便、自动显示、数据存储和超阈值报警等特点,能实时给出x射线、γ射线、中子射线的辐射剂量率。考虑到现场操作、应急快速响应的需要,主机安装
产品名称:REN系列智能化辐射探头
产品描述:REN系列智能化辐射探头均可和REN300、REN300A、REN300B系列主机配套使用,也可以单独配套RenRiArea辐射区域监测软件使用。且具有RS485/RS232的通讯能力。所有探头均可单独外接报警灯,在超阈值的情况下就地给出声光报警。 (一)REN-GM-L型 GM管
产品名称:REN200型X-γ个人剂量报警仪
产品描述: REN200型X、γ个人剂量报警仪(又叫X、γ辐射个人剂量当量HP(10)监测仪)内置高灵敏度盖格计数管为探测器,主要用来监测各种放射性工作场所中个人的X、γ以及硬β射线的辐射,具有响应快,测量范围宽的特点。能显示工作场所的剂量当量率和累积剂量,更换电池时,日期及累积数据能
产品名称:REN700型通道式车辆放射性检测系统
产品描述:简介: REN700型通道式车辆放射性检测系统是用于对通过通道的卡车、集装箱等车辆内运输物品的放射性污染及辐射泄露水平的全天候探测系统。该系统具有灵敏度高、探测范围广、响应时间短等特点,可实现自动辐射报警、自动数据存储、自动抓拍通过车辆照片等功能。主要安装在核








沪ICP备09065761号-6
沪公网安备 31011402001864号